SEICAP MADRID 2014 - page 375

XXXVIII
Congreso de la Sociedad Española de Inmunología Clínica, Alergología y Asma Pediátrica
375
Esta y el tipo de eliminación apoyarían una
adecuada suplementación dietética al pa-
ciente alérgico.
Cuando se debe enviar?
– Cuando la retirada es múltiple
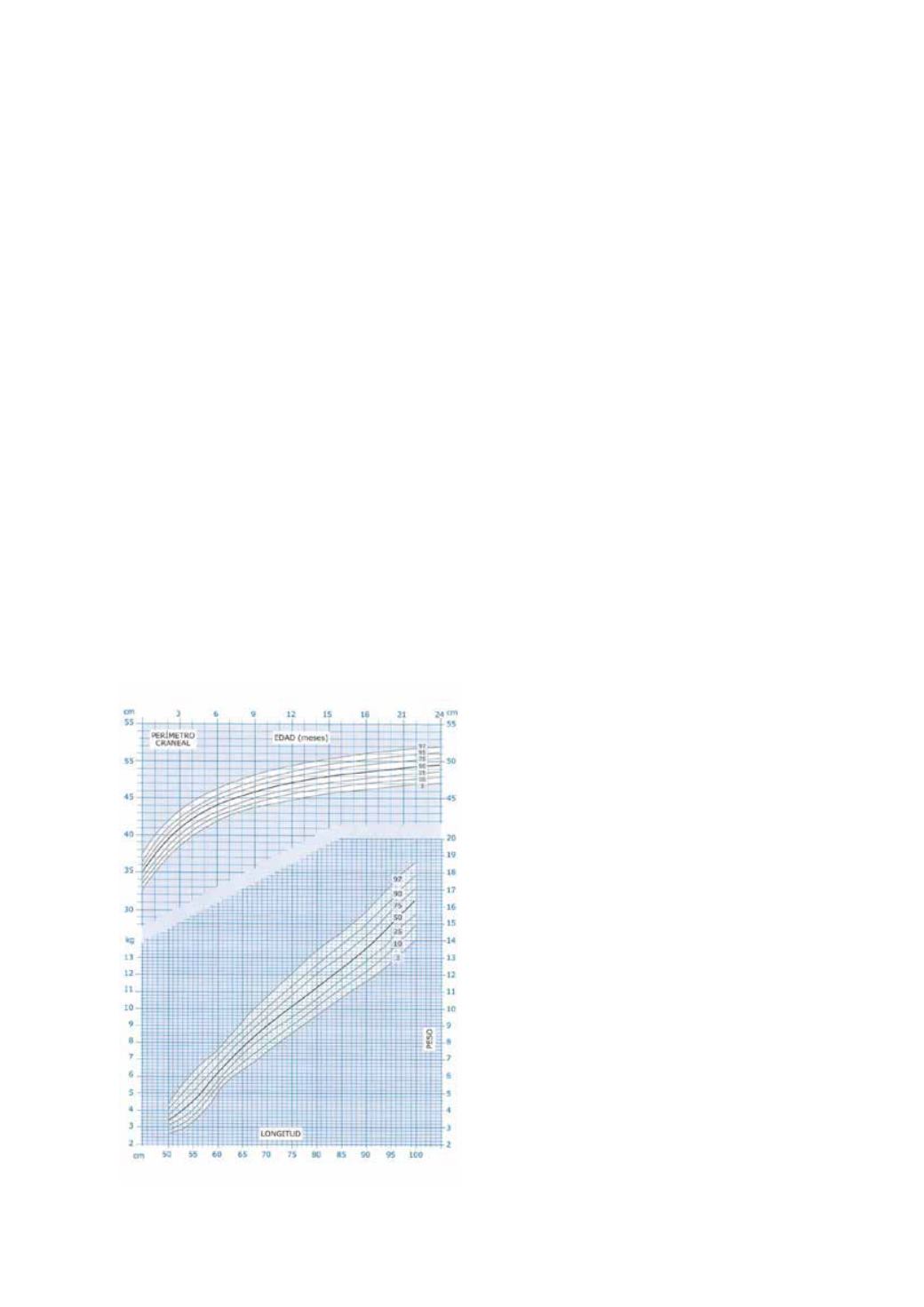
– Cuando los indices de relación peso/talla
estan en P3
Cuando el niño es enviado a una
consulta de Nutrición
En la Consulta de nutrición: se hace una
valoración nutricional que consta de varios
apartados
1. Historia clínica: Sintomatología general
y digestiva por conocer la situación del
TGI. Sintomatología respiratoria. Ante-
cedentes en la curva de ganancia ponde-
ro-estatural. Tipo de Ingesta. Alimentos
retirados.
2. Exploración física en los que de modo
subjetivo se exploran los depósitos
energéticos (grasa subcutánea) y protei-
cos (masa muscular) que exploramos en
volumen y consistencia, además de una
exploración pediátrica general
3. Valoración del crecimiento: Peso y longi-
tud en los menores de 2 años y talla en
los mayores.
4. Análisis de la composición corporal :
a) Antropometría: medida de plie-
gues y perímetros para determi-
nar la Masa corporal grasa.
b) Bioimpedancia eléctrica: que
permite conocer mas comparti-
mentos corporales . Consiste en
conocer la resistencia del cuerpo
al paso de la corriente de baja
frecuencia. La resistencia depen-
de del tamaño del cuerpo y de su
composición. Permite conocer el
agua corporal y la masa celular
corporal que es la masa metabo-
licamente mas activa del cuerpo.
Aparte de este análisis nosotros
Es muy importante la detección
de estos pacientes:
Herramientas de Cribado Nutricional: Son
herramientas para detectar a los pacien-
tes desnutridos en ellos los ítems mas fre-
cuentemente incluidos son 1. Los índices
de relación peso/talla 2. El diagnóstico de
base.3. La ingesta durante la última sema-
na. En este caso el apartado 2 sería el tipo
de alimentos a retirar. En general se inten-
tan utilizar en el paciente hospitalizado, sin
embargo tendrían una utilidad en el enfer-
mo crónico ambulante.
Nosotros estamos estudiando una herra-
mienta : CRINUTPAZ que ha sido validado
en un ambiente hospitalario. Hemos utiliza-
do las curvas peso/talla ya que el índice de
masa corporal (IMC) utilizada en el paciente
adulto, en pediatría no es tan sencillo por-
que se necesita encontrar o los percentiles
o el escore Z del IMC. Es posible que en los
pacientes extrahospitalarios es posible uti-
lizar los índices de relación peso/talla
1...,365,366,367,368,369,370,371,372,373,374 376,377,378,379,380,381,382,383,384,385,...472
Powered by FlippingBook