SEICAP MADRID 2014 - page 96

96
mantener un adecuado control, que se de-
fine como el grado en que las manifesta-
ciones están ausentes o se ven reducidas
al máximo. Se realizará un tratamiento es-
calonado, se sube si existe un mal control
ò se baja si el control es adecuado, buscan-
do la mínima dosis efectiva. Se aconseja
mantenerlo controlado durante un periodo
mínimo de 2-3 meses antes de cambiar de
escalón.
Sabiendo que en estas edades el control
puede ser difícil de conseguir debido a la
heterogeneidad de la patología, con múl-
tiples fenotipos de sibilancias recurrentes
que pueden estar solapados, con diferen-
cias patogénicas entre fenotipos que pue-
den condicionar la respuesta terapeútica y
por tanto el control.
¿CÓMO iniciar el tratamiento de manteni-
miento?
Las pautes terapèutica se observan en las
tablas VI y VII
en la sintomatología ni a nivel de funciona-
lismo pulmonar
Al iniciar el tratamiento preventivo habrá
que tener en cuenta
El nivel de gravedad
(TABLA V )
Si el niño no se ha iniciado tratamiento de
mantenimiento se debe valorar la gravedad
para utilizarlo inicialmente como guía para
tomar las decisiones terapéuticas más ade-
cuadas (tipo de fármaco, dosis y pauta )
La existencia de factores de riesgo de de-
sarrollar un asma persistente atópico
El lactante que es atópico (dermatitis ató-
pica o alergia a alimentos) presenta una
mayor probabilidad de presentar el feno-
tipo de sibilancias persistentes en la etapa
escolar y por tanto una mayor probabili-
dad de respuesta terapéutica
Evaluar el grado de control
Una vez que se ha iniciado el tratamiento,
el manejo clínico debe dirigirse a lograr y
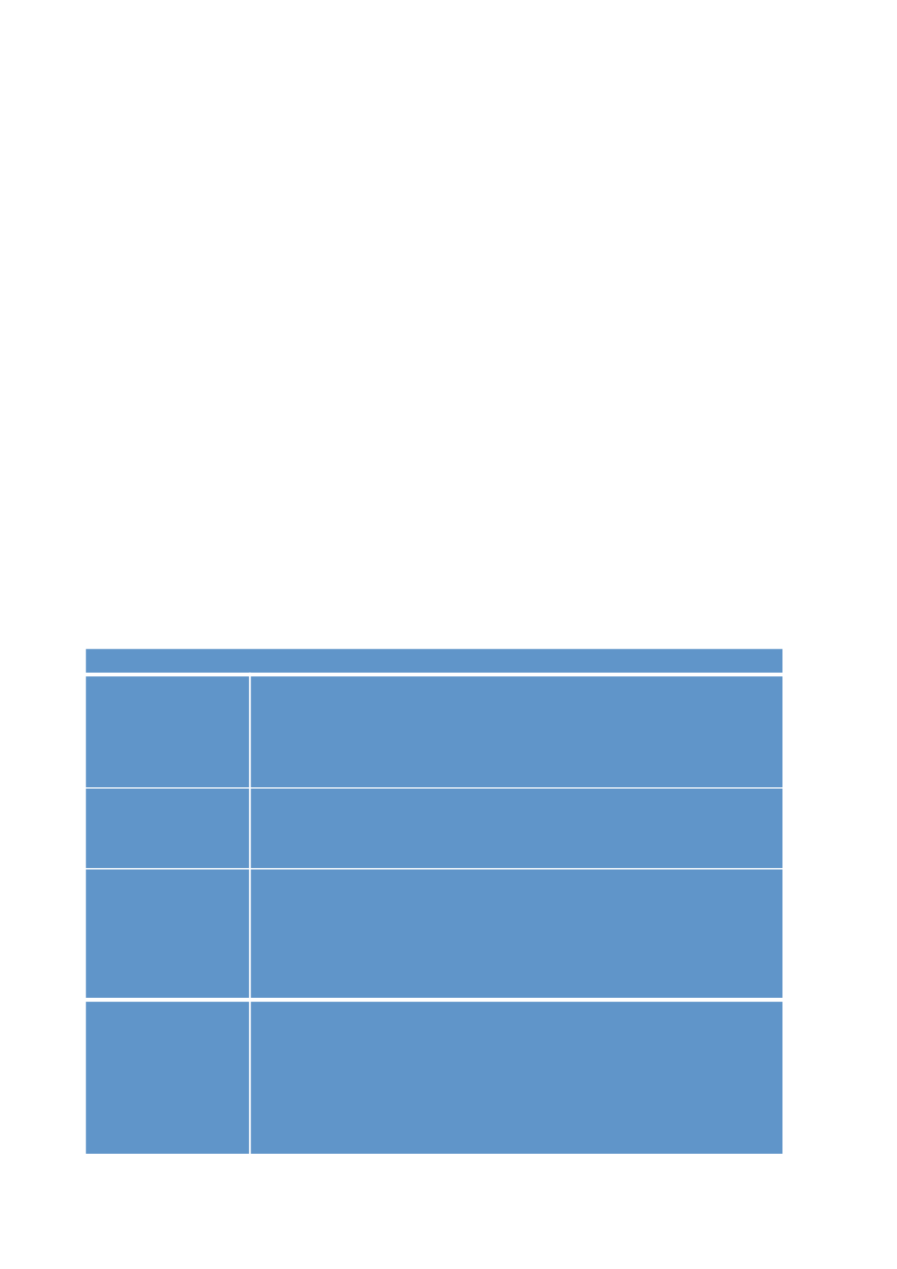
TABLA V. Clasificación del niño con sibilancias recurrentes por debajo de 3 años
Episódica ocasional
Episodios de pocas horas o días de duración < de una vez cada 10-­‐12/
semanas
Máximo 4-­‐5 crisis al año
AsintomáMco en la intercrisis con buena tolerancia al ejercicio
Episódica frecuente
Episodios < de una vez cada 5-­‐6 semanas (máximo 6-­‐8 crisis/año)
Sibilancias a esfuerzos intensos
Intercrisis asintomáMcas
Persistente moderada
Episodios > de una vez cada 4-­‐5 semanas
Síntomas leves en las intercrisis
Sibilancias a esfuerzos moderados
!
Síntomas nocturnos ≤ 2 veces por semana
!
Necesidad de β
2
-­‐agonistas ≤ 3 veces por semana
Persistente grave
!
Episodios frecuentes
!
Síntomas en las intercrisis
!
Requerimientos de β
2
-­‐agonistas > 3 veces por semana
!
Síntomas nocturnos > 2 veces por semana
!
Sibilancias a esfuerzos mínimos
!
Niño con sibilancias recurrentes por debajo de los 3 años. Estrategias terapeúticas…
1...,86,87,88,89,90,91,92,93,94,95 97,98,99,100,101,102,103,104,105,106,...472
Powered by FlippingBook